Actas del Congreso Nacional de Tecnología Aplicada a Ciencias de la Salud Vol. 7, 2025
Hoy en día, las investigaciones científicas en el ámbito educativo han multiplicado los esfuerzos en forma exponencial para inducir, promover o generar habilidades blandas. El objetivo del presente trabajo es analizar una intervención-acción participativa denominada Dispositivos Educativos Experimentales (DEE) favorables para activar competencias blandas en estudiantes universitarios. Asimismo, se promueve la confluencia transdisciplinaria nutricia para la producción de conocimiento científico, invenciones tecnológicas u obra creativa en un grupo de estudiantes universitarios compuesto de las áreas de ciencias exactas, artísticas y médica. Aunado al análisis ANOVA aplicado a la medición de los signos vitales antes y post intervención de Presión Arterial (PA), Frecuencia Cardiaca (FC), Oxigenación en Sangre (Os), Temperatura Corporal (T) y Medición de Glucosa (G). Esta muestra nos evidencia un impacto psico-fisiológico en los estudiantes del grupo de prueba.
Palabras clave: dispositivo educativo, signos vitales, habilidades, competenciasNowadays, scientific research in the educational field has multiplied efforts exponentially to induce, promote or generate soft skills. The objective of this paper is to analyse a participatory action-based intervention called Experimental Educational Devices (EED) that is conducive to activating soft skills in university students. Likewise, the study promotes a transdisciplinary convergence that contributes to the production of scientific knowledge, technological inventions, and creative work in a group of university students from the fields of exact sciences, art, and medicine. In addition, the ANOVA analysis was applied to the pre- and post-intervention vital sign measurements of blood pressure (BP), heart rate (HR), blood oxygenation (BOC), body temperature (BT), and glucose (G) measurement. This sample demonstrates a psychophysiological impact on the students in the test group.
Keywords: educational device, vital signs, skills, competencies
A mediados del siglo veinte se investigan diversos recursos tecnológicos que favorezcan los procesos educativos. En este contexto el psicólogo conductista Burrhus Frederic Skinner aporta el Dispositivo Educativo Experimental [1]. Consecuentemente en el campo de: la salud, la ciencia, la psicología, las artes y las humanidades, los DEE contribuyen a la activación de habilidades: duras, instrumentales y blandas [2-4]. Aunado a esto, el Sistema de Aprendizaje Transversal Introspectivo (SATI) constituye parte del andamiaje teórico estructural y contempla: un estado de concienciación o atención plena, una actitud serendípica flexible y un ecosistema holístico propicio para acontecer en acto (ver Figura 2). Dinámica factible para producir (DEE) a partir de: meditación, indagación e imaginación, creación y reflexión de varios productos. Ruta metodológica viable para la gestión emocional y factible para acontecer en acto [5].
Comprendemos al Dispositivo Educativo Experimental (DEE) en tanto artefacto, modelo formativo, laboratorio experimental y propuesta metodológica de intervención acción participativa; cuya operatividad transdisciplinaria es factible de aplicarse en múltiples campos del conocimiento. Su carácter pragmático aporta eficacia a la concreción de los proyectos y fomenta su análisis crítico.
El Sistema de Aprendizaje Transversal Introspectivo (SATI) conforma ecosistemas educativos capaces de entramar holística y sinápticamente diversos ejes temáticos transversales interconectados a fin de profundizar y ampliar el entendimiento del proceso que se esté llevando a cabo. Su sentido humanista y su visión prospectiva del SATI impregnan de significado valioso a los procedimientos colaborativos de enseñanza-aprendizaje.
La Figura 1 espiralada, representa la transversalidad rizomática expandida a que da lugar la efectuación de los DEE-SATI mismos que parten de la introspección de los participantes quienes se vinculan con los demás mediante el intercambio experiencial de saberes adquiridos y aplicados vía la ideación y diseño de productos creativos varios: sonoros, plásticos, kinestésicos, visuales, gráficos, escritos, modelos 3D u otros. Tal empeño reticular se concreta con la materialización del producto imaginado el cual idóneamente busca impactar a favor del espectro social glocal.
Por otro lado, la praxis de la interdisciplinariedad [6] permite aplicar métodos de cuantificación y análisis estadístico con la finalidad de investigar desde una perspectiva científica los DEE, mediante el método de Análisis estadístico ANOVA. Más aún, esta metodología permite tener un criterio cuantitativo (p-value) para conocer el impacto del DEE en estudiantes de nivel superior de al menos 3 diferentes áreas. Procedimiento complejo [7] que favorece la conexión transdisciplinaria.
El objetivo del presente trabajo es analizar una intervención-acción participativa DEE-SATI, favorables para activar competencias blandas en estudiantes universitarios. Por ende, en la sección 2, se plantea la metodología experimental seguida para la implementación del DEE-SATI que principalmente considera la medición de signos vitales (PA, FC, OS, T y G), antes y después de realizar las actividades propias del dispositivo. Esto con la finalidad, primero de diagnosticar el estado fisiológico de los estudiantes y segundo para medir objetivamente el impacto fisiológico de dicho dispositivo en los participantes. En la sección 3, se presentan los resultados del análisis ANOVA aplicado a la medición de signos vitales, así como la medición cualitativa del análisis de las ideas pictográficas y en forma escrita de los estudiantes. La sección 4 se dedica a las conclusiones de este trabajo de investigación.
Figura 1. Representación esquemática del Dispositivo Educativo Experimental (DEE) y Sistema de Aprendizaje Transversal Introspectivo (SATI)
Materiales: Espacio acondicionado para actividades corporales. Tapetes de yoga. Consentimiento informado. Cuestionarios sobre el estado psicoemocional: al principio, a la mitad y al final del encuentro. Equipo de medición de signos vitales y parámetros fisiológicos: Glucómetro® (IVD), Oxímetro® (Arm Style), Termómetro® (Arm Style) y Monitor de presión arterial® (Arm Style). Música Reiki con sonidos ambientales que estimulan la calma. Hojas para escribir y dibujar. Bolígrafos, lápices y colores varios.
Etapas de desarrollo del DEE: las actividades constitutivas fueron las siguientes:
Diseño experimental y análisis estadístico: se realiza un estudio piloto con la participación de 8 estudiantes universitarios: 4 de la facultad de artes, 3 de la facultad de físico matemáticas y 1 de la facultad de medicina. Al aplicar el análisis ANOVA bajo comparación de Turkey [13, 14] a las mediciones de los signos vitales iniciales y finales del Dispositivo Educativo Experimental (DEE) que es la meditación e indagación activa propia del Sistema de Aprendizaje Transversal Introspectivo (SATI); los factores del diseño experimental son factores no controlables, pues cada persona es un sistema complejo único e irrepetible. Además, se puede considerar al DEE–SATI como un sistema experimental complejo de múltiples variables de respuesta: Frecuencia Cardiaca (FCB), Presión Arterial Sistólica (PASB) y Presión Arterial Diastólica (PADB), temperatura corporal (TB) y Glucemia Capilar (GB), cuyo estado inicial es el estado corporal de los individuos caracterizado por los factores no controlables con valores iniciales de FCA, PASA, PADA, TA y GA. Esto implica que si el sistema DEE-SATI no genera cambios en los individuos que lo experimentan, los valores de los factores no controlables y las variables de respuesta no deben presentar diferencia significativa estadística en el análisis ANOVA. Esto implica que la hipótesis nula se acepta. Por el contrario, se rechaza la hipótesis nula y se acepta la hipótesis alternativa. Esto es: el sistema DEE-SATI genera cambios significativos en los individuos que lo experimentan. Complementario a lo anterior, el análisis cualitativo de Inteligencia Emocional Autopercibida (IEA) y la Escala Meta del Estado de Ánimo [9-10] [TraitMeta-MoodScale] (TMMS), indica como los estudiantes participantes exploran sus emociones y pensamientos introspectivos.
En la Figura 2, se muestra a los estudiantes en las diferentes etapas del desarrollo del DEE-SATI:


Figura 2. a) Conciencia o atención plena, b) actitud serendípica flexible y c) estado holístico propicio para acontecer en acto
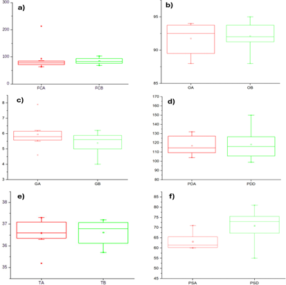
La obtención de los valores de los factores no controlables y las variables de respuesta, se presentan en la Figura 3. Por observación directa de esta gráfica se puede observar que la temperatura corporal no sufre algún cambio significativo (TA vs TB), comportamiento que resulta contra-intuitivo para la experiencia cotidiana.
Figura 3. Representación gráfica de los datos de los factores no controlables: FCA, OA, GA, PDA, PSA y TA y las múltiples variables de respuesta: FCB, OB, GB, PADB, PASB y TB
Por otro lado, realizando el análisis ANOVA a los datos de la Figura 3, se obtienen los gráficos de la Figura 4. Estos gráficos muestran que se amplía la varianza de las variables de respuesta en comparación con sus respectivos factores no controlables, a excepción de la oxigenación en sangre. Además, a partir de estos datos las medias de cada factor no controlable y variable de respuesta, se obtienen en la Tabla 1, sus respectivas medias y valor p. Esto implica que se rechaza la hipótesis nula y se acepta la hipótesis alternativa en el caso de FCA – FCB, PADA – PADB y OA–OB. Mientras que en el caso de TA–TB y PASA – PASB, se acepta la hipótesis nula.
Al aplicar el análisis ANOVA bajo comparación de Turkey a las mediciones de los signos vitales iniciales y finales del DEE que es la meditación e indagación activa propia del (SATI); se encontró que los estudiantes participantes presentan una diferencia significativa en: FC, PAD, GC y O para el grupo piloto. A partir de la Figura 4, se puede observar que las varianzas (altura de las cajas) de cada parámetro se ampliaron sin que se dispersaran las mediciones después de la realización del DEE-SATI. Además, el análisis cualitativo de IEA y TMMS, indica como los estudiantes participantes exploran sus emociones y pensamientos introspectivos.
Figura 4. Diagramas de cajas para la comparación de cada factor no controlable y su correspondiente respuesta. a) FCA vs FCB, b) OA vs OB, c) GA vs GB, d) PDA vs PDB, e) PSA vs PSB y f) TA vs TB
Tabla 1. Resultados del valor p para la obtención del criterio de selección de la hipótesis
Tras la aplicación de los métodos de cuantificación y análisis estadístico a partir del Trait-Meta Mood Scale se obtuvo de los participantes una reflexión escrita y asumida sobre la relevancia de la Inteligencia Emocional Auto percibida (IEA), además de la comprensión socioemocional verificada con la creación de productos kinestésicos, gráficos y orales; los cuales de cierta manera nos dan cuenta del metaconocimiento sobre los estados psicoafectivos propiciados a partir de la efectuación del DEE-SATI con el grupo piloto. Entre las habilidades blandas activadas, percibidas, comprendidas y reguladas están: confianza, autoconciencia, resiliencia, empatía, tolerancia, motivación, pensamiento crítico y creativo, comunicación asertiva y, autoevaluación.
A su vez, en la fase de retroalimentación grupal los participantes reconocen la importancia de contar con recursos efectivos, éticos y sensibles de acompañamiento y sostenimiento al alcance de la comunidad estudiantil, así como también manifestaron su interés por contar con medios viables para la concienciación subjetiva y la canalización de estados emocionales negativos.
El enfoque holístico [11] transdisciplinario del dispositivo educativo experimental piloto permite: identificar, registrar y analizar la inteligencia afectiva auto percibida. A fin de una mejora continua en: lo personal, lo socioemocional y la productividad emprendedora creativa y con enfoque innovador. Coincidimos en los aspectos que instrumenta el DEE materializado vía el SATI y lo que aportan Kostikova y colaboradores [12], respecto de las habilidades blandas ponderadas: 1) pensamiento crítico, 2) creatividad, 3) gestión de equipos, 4) inteligencia emocional, 5) interacción con las personas, 6) gestión de conflictos, 7) conciencia flexible, 8) resistencia al estrés.
La intervención del Dispositivo Educativo Experimental basado en el Sistema de Aprendizaje Transversal Introspectivo es una herramienta educativa que fue cuantificada mediante parámetros médicos corporales de los participantes, encontrando diferencias significativas después de experimentar el susodicho Dispositivo. Además, el DEE-SATI como herramienta integradora en los alumnos permite focalizar sus metas y emociones mediante estímulos extracorporales que vinculan el pasado con el presente y la evolución espaciotemporal del estudiante; a la par de activar otras habilidades: blandas, duras e instrumentales indispensables para la formación y profesionalización de nuestros estudiantes universitarios.
Agradecimiento a la Vicerrectoría de Investigación y Estudios de Posgrado de la Benemérita Universidad Autónoma de Puebla por el apoyo al grupo de investigación Interdisciplinariedad y Divulgación Científica de Materiales Avanzados para el Desarrollo Sustentable (IDCMADS) con No. de proyecto 00065-PVG/2025.